Can AI Help Detect Ghost Jobs by Treating Them as a Kind of Spam?
Ghost jobs are spam. We solved email spam with filters. Now we're using the same mathematics—Bayesian probability, survival analysis, and reputation scores—to catch phantom job postings
The job posting sits in your search results like an email in your inbox. It promises opportunity. It requests your information. It may or may not be real. The question is the same one your email provider asks a billion times per day: Is this message legitimate, or is it spam?
The answer emerging from the chaos of the modern labor market is that ghost jobs aren’t just analogous to spam—they are spam. They’re unsolicited, deceptive, mass-distributed messages designed to extract value (your time, your resume data, your hopes) without providing the promised service. And if ghost jobs are spam, then the solution isn’t to build something new. It’s to adapt the same machine learning frameworks that already filter 99.9% of junk email from your Gmail account.
The technology exists. The pattern recognition models work. What’s been missing is the willingness to call a ghost job what it is: fraudulent communication at industrial scale.
The Spam Problem Nobody Named
You’ve encountered this before, even if you didn’t recognize it. The numbers are staggering and getting worse. Eighty-one percent of recruiters admit to posting ghost jobs. Forty percent of companies posted at least one fake listing in the past year. One in three employers confesses to having active job postings despite no intention to hire.
For you, the job seeker, the impact is quantifiable: 50% of candidates report being ghosted by employers after applying. Nearly 40%—39.3% to be exact—identify fake or ghost jobs as their single biggest challenge in the job search process. Twenty-seven percent report being victims of outright job scams—a distinct category of fraud we’ll return to later.
Email spam peaked at 45% of all messages in 2021 before declining as filters improved. Job board spam—ghost postings—currently sits at 28-38% and has remained steady for five years. The difference? Email providers had a profit motive to solve spam. Job boards profit from high listing volumes regardless of legitimacy.
But the technical challenge is identical: distinguish signal from noise at scale, in real-time, when the noise is designed to look like signal.
The Taxonomy: Ghosts Versus Scams
Before we can filter spam, we must categorize it. Not all phantom postings are created equal.
Ghost jobs are posted by real companies for positions they’re not actively filling. These serve strategic purposes: collecting resumes for future talent pipelines, signaling growth to investors, or—in 63% of cases—placating overworked employees with the illusion that help is coming. These are corporate theater, ethically dubious but usually not criminal.
Scam jobs are explicitly fraudulent—designed to harvest personal data, steal financial information, or worse. These lead to identity theft, financial loss, and severe mental distress. Twenty-seven percent of job seekers have encountered these predatory listings, making them a cybersecurity threat as much as a labor market distortion.
The distinction matters because detection strategies differ. Ghost jobs exhibit behavioral patterns—temporal anomalies, interaction voids, textual homogeneity. Scam jobs often contain linguistic red flags—urgency language, requests for payment, too-good-to-be-true compensation. A spam filter needs different triggers for each.
The Bayesian Logic of Hiring Intent
Spam filters work by calculating probability. When an email arrives, the filter doesn’t ask “Is this definitely spam?” It asks “Given these observable features, what’s the probability this message is spam?”
The mathematics are elegant. Bayesian spam filters analyze message characteristics—sender reputation, word frequency, link patterns, recipient behavior—and calculate a spam score. If that score exceeds a threshold, the message goes to junk. The system learns over time, updating probabilities as users mark messages as spam or rescue false positives from the junk folder.
Ghost job detection applies the same logic. Instead of analyzing email text, it analyzes job posting metadata. Instead of sender reputation, it tracks employer behavior. Instead of link patterns, it monitors interaction signals. The output is identical: a probability score indicating likelihood of legitimacy.
The Hiring Likelihood Score that advanced detection platforms generate—0 to 100, with classifications ranging from “Actively Hiring” to “Likely Ghost Job”—is functionally a spam score for employment postings.
The classification system works like this:
0-20 (Actively Hiring): High probability of active budget and immediate need. These are the verified legitimate emails in your inbox.
21-50 (Possible Hire): Signs of intent exist, but the role may be lower priority or slow-moving. The borderline messages that require human judgment.
51-75 (Low Intent): Signals suggest pipeline building or stale listings. This is promotional spam—not malicious, but not what you’re looking for.
76-100 (Likely Ghost Job): High probability of being fake, abandoned, or a “talent decoy.” This is junk folder material.
Jobs scoring below 30 are junk. Jobs above 70 make it through the filter. Everything in between requires human review—exactly like the spam filter’s confidence threshold.
Pattern Recognition at Scale
Spam filters identify patterns invisible to individual users but obvious at scale. No single person notices that 87% of emails containing the phrase “Nigerian prince” are scams. But Gmail processes 300 billion emails annually and spots the pattern instantly.
Ghost job detection works the same way. You can’t tell if a single posting is phantom, but AI analyzing millions of listings across months identifies behavioral signatures that betray intent.
The Technical Monitoring Process
The detection mechanism mirrors email spam filtering infrastructure. Because job boards like LinkedIn implement anti-scraping measures, detection systems use residential proxies—routing traffic through legitimate home internet connections—to ensure consistent access for signal extraction without triggering blocks.
The process follows a structured pipeline:
Periodic Snapshots: Capturing the raw state of a job URL at intervals, like email servers logging message headers
Signal Extraction: Identifying changes in title, location, description, or metadata—the equivalent of tracking email modification timestamps
Cross-Verification: Checking if the role exists on the company’s official careers page. Roles missing from the primary source but lingering on third-party boards are outdated residuals, like cached spam that persists after the source is deleted.
Score Calculation: Weighting these signals to output the final classification—exactly how spam filters combine multiple features into a single probability.
Temporal Patterns: The Decay Signal
Legitimate emails don’t sit in your spam folder for sixty days and then reappear unchanged. Legitimate job postings don’t either. When a listing remains open for months without status updates, it’s exhibiting the temporal behavior of spam—distributed once and abandoned.
Temporal stability provides a primary indicator. No modifications to posting content for weeks or months flags decay. Conversely, sudden disappearance followed by immediate reappearance with identical content signals automated scripts maintaining “evergreen” presence—the employment equivalent of recurring spam campaigns.
AI tracks posting duration against historical hiring cycles. Roles that persist 3-4x longer than industry median close rates get flagged. Reposted jobs with identical text at regular intervals—every 15 or 30 days—trigger the same “duplicate message” filters that catch email spam campaigns.
Structural Signals: The Content Quality Score
Structural integrity analysis examines job description quality. Listings that are very short, vague, or generic—failing to specify key responsibilities or reporting structures—are statistically more likely to be ghosts. This mirrors spam filters that flag emails with high image-to-text ratios or suspiciously minimal content.
Clear reporting structures suggest real organizational vacancies: “Reports to Director of Product Marketing in the Growth division.” Vague leadership references flag speculative postings: “Reports to leadership team.” The difference in information density is measurable and predictive.
Interaction Signals: The Engagement Desert
Spam emails generate different engagement patterns than legitimate messages. They’re opened less, clicked less, replied to never. Ghost jobs exhibit parallel behavior. AI monitors recruiter activity—whether the posting shows signs of active review, status updates, or candidate communication. Jobs with zero detectable interaction after weeks online are behavioral spam.
This is where the feedback loop becomes critical. Forty-four percent of candidates admit to “ghosting” employers in return—abandoning application processes when they sense the posting is phantom. This reciprocal abandonment creates data: when application rates suddenly drop for a persistent listing, it signals that the crowd has identified spam before the algorithm did.
The Mathematics of Decay: Survival Analysis
Spam filters don’t just analyze content—they track lifecycle. Legitimate emails trigger responses quickly. Spam sits ignored until it ages out of inboxes.
Ghost job detection applies survival analysis—the same statistical method email systems use to determine when to purge old messages. The question becomes: given observable features, what’s the probability this job posting will “close” (result in a hire) at any given time?
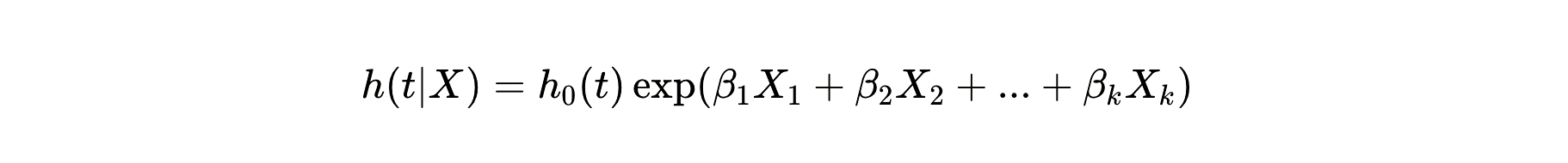
The Kaplan-Meier Estimator
The Kaplan-Meier (KM) estimator measures the probability of a job posting remaining “alive” (open) over time. The mathematical foundation:
S(t) represents the probability that a job posting remains unfilled at time t, calculated by multiplying together the survival rates at each moment when jobs close—where d_i is how many jobs closed at that moment and n_i is how many were still open just before.
Research by Ali Berk Canli utilized KM curves to demonstrate that job postings with higher textual homogeneity—descriptions that are highly repetitive either within a company or across the market—remain open significantly longer than unique listings. This suggests that “templated” job descriptions are a reliable proxy for ghost jobs, the way templated phishing emails are reliable indicators of spam campaigns.
The survival curve for these homogeneous postings flattens, approaching zero probability of ever resulting in a hire. These are the employment equivalent of emails that sit in spam folders forever because they were never meant to be answered.
Hazard Ratios and Textual Homogeneity
The Cox Proportional Hazards model takes this further, calculating the “hazard rate”—the instantaneous probability of closure at any moment—based on observable features:
The model examines textual homogeneity, linguistic specificity, repost count, and interaction signals, then outputs a mathematical probability that the role will ever result in a hire. The results are stark: reposted roles have the lowest closure hazard, meaning they are statistically among the slowest to close—confirming that frequently reposted roles are often not intended for immediate hire.
Monitoring a listing for 7-14 days provides enough temporal data to calculate these probabilities reliably. Jobs that show declining interaction velocity—decreasing recruiter activity over time—exhibit the decay pattern of abandoned spam campaigns.
The Language of Intent: NLP and Semantic Analysis
Natural Language Processing dissects job descriptions for what researchers call “quality of intent”—linguistic markers that betray whether a posting represents genuine need or strategic positioning.
Generic buzzwords—”rockstar,” “ninja,” “guru”—correlate negatively with hiring likelihood. These terms signal database building, designed to attract broad applicant pools rather than specific candidates for real vacancies. Static descriptions that remain unchanged for weeks indicate stagnation. Real hiring processes evolve as companies interview candidates and refine requirements based on feedback. Ghost jobs don’t evolve because there’s no genuine selection process occurring.
Intent Temperature and Alignment Scores
Modern detection systems utilize models like DeBERTa to handle subtle context differences more accurately than previous architectures. These models assess “alignment scores” to determine if a specific section of a job description satisfies a genuine query intent:
≥ 0.75 (Strong Alignment): Directly relevant; likely a legitimate vacancy
0.60-0.74 (Moderate Alignment): Lacks specificity; may be a generic or placeholder role
< 0.60 (Weak/Mismatch): Significant mismatch; high priority for ghost flagging
High “intent temperature”—an inverse metric to the dominance gap between intent labels—indicates ambiguous or mixed intent, a hallmark of corporate “talent banking” ads that try to appeal to too many distinct candidate personas simultaneously. When a posting simultaneously targets “entry-level innovators” and “senior strategic leaders,” the semantic confusion signals spam.
By utilizing LLM-in-the-loop intent clustering, researchers can robustly merge clusters of job postings that share identical semantic “DNA,” identifying large-scale automated posting campaigns across multiple platforms—the employment equivalent of identifying coordinated spam networks.
The Reputation Score: Sender Authentication
Email spam filters maintain sender reputation scores. Gmail tracks which domains consistently send legitimate mail versus which ones blast junk. Domains with poor reputation scores find their messages automatically junked regardless of content.
Ghost job detection is building the same infrastructure for employers. Companies are developing reputation scores based on:
Posting-to-hire ratio: How many listings does this company publish versus how many people do they actually hire?
Time-to-close velocity: How long do their postings typically remain open compared to industry norms?
Interaction rate: Do their recruiters actively engage with applicants, or do applications disappear into voids?
Reposting frequency: Does this employer cycle the same roles month after month?
Historical accuracy: Have previous postings from this company resulted in hires?
Just as Gmail throttles email from low-reputation domains, job search platforms could demote or flag listings from companies with poor hiring reputation scores. A tech startup that posts fifty roles but makes two hires in a year earns a reputation score suggesting 96% of their postings are spam.
The data exists. Applicant Tracking Systems track these metrics internally. Job boards monitor posting behavior. What’s been missing is the will to aggregate reputation scores publicly and impose consequences for bad actors—the way email providers maintain shared blacklists of known spam sources.
The Training Data Problem
Here’s where the analogy reveals a critical challenge: spam filters work because users constantly provide training data. Every time you mark an email as spam or rescue a message from junk, you’re teaching the algorithm. The system learns from millions of users making billions of corrections.
Ghost job detection lacks that feedback loop. When you apply for a phantom posting and receive no response, you have no mechanism to “mark as spam.” When a company fills a role internally but leaves the posting live, you don’t know to flag it. The platform has no training signal.
This is why early ghost job detection required unsupervised learning—the AI had to identify patterns without explicit labeling. It analyzed correlations between observable features (posting duration, interaction signals, textual patterns) and inferred which combinations predicted spam behavior.
But the landscape is changing. New legislation is creating explicit spam labels.
The Regulatory Spam Filter
Legislation is functioning as a manual spam filter—humans writing rules to catch patterns algorithms might miss.
The Truth in Job Advertising and Accountability Act (TJAAA)
The TJAAA imposes requirements that mirror email authentication standards like SPF, DKIM, and DMARC:
Active-Hiring Certification = sender authentication (proving the message comes from a legitimate source with actual hiring authority)
90-Day Freshness Rule = message expiration (spam can’t circulate indefinitely)
Mandatory Status Updates = delivery receipts (senders must confirm when the transaction completes)
AI Disclosure = header transparency (recipients must know if automated systems processed them)
Penalties range from $2,500 to $200,000 per violation—roughly equivalent to the fines ISPs face for facilitating spam distribution under CAN-SPAM laws. Companies whose fraud rates exceed 1% face criminal prosecution, the same way email spammers face criminal charges under fraud statutes.
Ontario’s 45-Day Rule: The Timeout Mechanism
Ontario’s Working for Workers Seven Act (Bill 190), effective January 1, 2026, introduces the “Duty to Inform”—making candidate ghosting after a formal interview legally prohibited for employers with 25 or more employees.
The 45-Day Rule functions as a timeout mechanism: if an employer doesn’t respond to an interviewed candidate within forty-five days, they face fines up to $100,000 CAD. This forces a “decision timeline” on employers, preventing the practice of keeping candidates in perpetual limbo—the equivalent of forcing email senders to either deliver the message or admit it was spam.
Additional Ontario requirements include:
AI Disclosure: Mandatory notification if AI is used in screening, assessing, or selecting candidates
Pay Transparency: Postings must include expected compensation or a clear pay range
Vacancy Type: Must state if the role is an existing vacancy or a future opportunity
These requirements generate ground truth—verified labels of which postings were real versus phantom. With labeled data, ghost job detection can move from unsupervised correlation to supervised machine learning, training on thousands of verified spam/legitimate examples the way Gmail learned to distinguish Nigerian prince scams from legitimate wire transfer notifications.
The EU Pay Transparency Directive
The European Union’s deadline of June 2026 for the Pay Transparency Directive creates compliance requirements that effectively function as spam filters. By requiring salary bands in every public posting, the EU makes it difficult for companies to post “speculative” roles without clear budgetary commitment. The cost of posting rises; the cost of spam increases.
The Arms Race: When Spam Fights Back
Email spam evolved in response to filters. Spammers learned to obscure trigger words (V!agra, Fr33 M0ney), spoof legitimate sender addresses, and embed text in images to evade content analysis. Every filter improvement triggered a counter-adaptation.
Ghost job posters are adapting too. But now we face something more dangerous: the double-sided ghosting crisis.
The Synthetic Candidate Problem
As AI becomes the tool for detection, it’s being weaponized to create fraudulent candidate profiles. Some estimates suggest that by 2028, one in four candidate profiles worldwide could be fake. This “synthetic identity fraud” exploits the shift toward remote hiring and automated onboarding.
Fraudsters combine real and fabricated data to create “dossiers” for candidates who do not exist. These identities bypass standard background checks because they utilize valid but stolen Social Security numbers and realistic, AI-generated credentials.
The fraud vectors are sophisticated:
Synthetic Identities: Blending genuine personal data to create fake but “validated” personas, allowing unauthorized access to internal corporate systems after onboarding
Deepfake Interviews: AI-generated video and voice simulations to impersonate real people during remote calls—candidates with no actual skills secure high-stakes remote positions
AI Resume Surge: Large language models generating hundreds of hyper-optimized resumes per hour, overwhelming recruiters and leading to reciprocal abandonment of human vetting
This has moved beyond simple resume padding into a national security threat. In one year, over 320 incidents of remote job fraud were linked to North Korean actors using AI to fabricate identities and infiltrate corporate security operations centers. In one Hong Kong-based incident, a deepfake video call mimicking a CFO led an employee to transfer HKD 200 million ($25 million) to a fraudulent account.
The fake candidate is often the first step in a multi-stage cyberattack. We’ve moved from worrying about fake jobs to worrying about fake humans applying for real jobs—a spam arms race that has escalated beyond labor market economics into cybersecurity warfare.
The Eightfold AI Lawsuit: When Filters Become Surveillance
The corporate response to this surge in fraud has been to deploy even more AI screening tools. But this has triggered a new legal battlefield involving consumer protection laws.
A nationwide class-action lawsuit filed in January 2026—Kistler v. Eightfold AI—alleges that the company’s AI-powered ranking system creates “hidden credit reports” on job seekers. The lawsuit argues that because the platform scrapes 1.5 billion data points to create detailed dossiers and scores candidates from 0 to 5, it functions as a “Consumer Reporting Agency” (CRA) under the Fair Credit Reporting Act (FCRA).
If Eightfold’s assessments are deemed consumer reports, employers would be required to provide clear, standalone disclosure and obtain written authorization before screening—a compliance burden described as “herculean” for high-volume hiring.
The case illustrates the central paradox: the tools used to filter spam candidates may themselves be violating federal privacy and consumer protection laws. We’ve built a spam filter so aggressive it might be illegal.
RegTech: The Automated Compliance Filter
As regulatory complexity explodes, companies are deploying Regulatory Technology—essentially compliance spam filters that automatically check postings against evolving rules.
RegTech platforms monitor job listings in real-time against regulatory requirements across jurisdictions. Just as email servers check outgoing messages against spam filters before sending, RegTech systems scan job postings before publication to ensure they include required salary ranges, AI disclosure statements, and legitimate hiring intent certifications.
Predictive analytics flag anomalies—a company posting fifty senior roles despite flat revenue and recent layoffs triggers the same alerts as an IP address suddenly sending 10,000 emails. The pattern suggests spam behavior regardless of content.
Automated auditing scans regulatory rulebooks overnight, updating compliance filters as laws change—the way spam filters update their pattern databases daily to catch emerging threats.
By 2025, RegTech has moved from optional add-on to essential infrastructure, providing the audit trails necessary for regulatory enforcement the way email headers provide forensic evidence of spam sources.
Verified Hiring Networks: The Whitelist Solution
No spam filter is perfect. False positives—legitimate emails marked as junk—erode trust in the system. Users who miss important messages because the filter was too aggressive stop trusting automation entirely.
This is why sophisticated spam filters use whitelisting—approved senders whose messages always pass through regardless of content. Your email from your boss never goes to spam, even if it contains trigger phrases, because the sender is whitelisted.
Ghost job detection is implementing employer whitelists based on hiring reputation scores. Platforms like LinkedIn and Greenhouse now offer “Verified Hiring” badges—cryptographic or administrative proof of intent that functions like the blue checkmark on social media.
Companies with demonstrated track records—high posting-to-hire ratios, fast time-to-close, active recruiter engagement—earn whitelist status. Their postings bypass aggressive filtering because their historical behavior proves legitimacy.
These badges signal:
Confirmed hiring needs
Realistic timelines
Verified budget allocation
Active recruiter engagement
The verified network creates a trust layer above the algorithmic filter. You can trust a whitelisted employer the way you trust emails from known contacts.
The Ecosystem Approach
Email spam was solved not by individual filters but by ecosystem transformation. ISPs collaborated on blacklists. Email authentication protocols became universal. Sending reputation scores became portable across platforms. The cost of sending spam increased while the cost of sending legitimate mail decreased.
Ghost job elimination requires similar ecosystem coordination:
Cross-platform reputation scores that follow employers across job boards
Standardized APIs for real-time posting status updates (filled/paused/closed)
Shared fraud databases where platforms report verified ghost jobs
Candidate feedback mechanisms that generate training data through “report as ghost job” buttons
Whitelist consortiums where employers with strong hiring records earn trust badges recognized across platforms
The infrastructure exists. Applicant Tracking Systems already track posting-to-hire ratios. Job boards monitor employer behavior. What’s missing is data portability and collective enforcement—the way email providers share spam intelligence in real-time.
Regulatory requirements are forcing that coordination. When the EU Pay Transparency Directive requires salary range disclosure and the TJAAA mandates AI usage notification, companies must implement systems to ensure compliance across all posting platforms. That standardization creates the interoperability necessary for ecosystem-wide spam detection.
Ghosting-Resistant Workflows
The future of recruitment is incorporating spam-resistant design patterns:
Automated Status Updates: Using AI to ensure no candidate falls into a communication black hole, maintaining engagement through the 45-day window mandated by Ontario’s law. Every application triggers a confirmation, every stage transition generates a notification, every rejection provides closure.
Liveness Detection: Implementing forensic analysis during video interviews to counter deepfake impersonation. Real-time ID verification, behavioral consistency analysis, and biometric authentication restore human authenticity to a system flooded with synthetic candidates.
Cross-Channel Verification: Cross-referencing resumes against verified blockchain-based credentials or social media activity to detect synthetic personas. Just as email servers perform SPF checks against DNS records, hiring systems verify candidate identity against multiple data sources.
What Filtering Means
You’ll know the spam filter is working when your job search results look like your email inbox: mostly signal, minimal noise, with junk automatically quarantined.
That means:
Ghost job warnings appear next to suspicious listings the way “This message seems dangerous” warnings appear on phishing emails
Employer reputation scores display prominently the way sender addresses do
You can report suspected ghost jobs with a single click the way you report spam
Platforms downrank or hide postings from companies with poor hiring records
Whitelisted employers—those with proven track records—get verified badges
The Hiring Likelihood Score appears inline with every posting, color-coded like spam confidence indicators
The cost of posting spam becomes prohibitive. The $200,000 penalties make mass ghost job posting financially ruinous the way CAN-SPAM fines deterred email spam operations.
Employers face a choice: maintain posting hygiene voluntarily (removing filled positions promptly, responding to candidates within forty-five days, hiring people they advertise for) or face algorithmic exile to the spam folder where their listings are hidden by default, flagged with warnings, and distrusted by candidates.
The Filter’s Limit
Spam filters don’t eliminate spam—they manage it to tolerable levels. Gmail still receives spam. It just doesn’t reach your inbox. The same will be true for ghost jobs.
Some phantom postings will always exist. Legally mandated PERM ads. Internal compliance postings. Strategic growth signaling that technically violates no laws. The goal isn’t zero ghost jobs any more than email providers aim for zero spam. The goal is preventing phantom postings from wasting your time—routing them to a quarantine folder where they can’t harm you.
But here’s what the spam filter paradigm makes undeniable: the ghost job problem is solvable. We’ve solved this exact problem before. We filtered email spam from 45% of all messages down to less than 1% reaching inboxes. The mathematics are identical. The behavioral patterns are parallel. The technical infrastructure is transferable.
The only thing preventing ghost job elimination is the will to implement the filter—and the regulatory force to make compliance mandatory rather than optional.
The Self-Correcting System
The algorithm that posts the ghost job is learning to hunt itself. But the arms race never ends. Just as spammers adapted to Gmail’s filters, employers will adapt to ghost job detection. They’ll craft postings that exhibit just enough interaction signals to pass screening. They’ll game reputation scores. They’ll find regulatory loopholes.
Meanwhile, candidates deploy more sophisticated application bots. Fraudsters create more realistic synthetic identities. The double-sided ghosting crisis escalates. Both supply and demand become increasingly algorithmic, increasingly automated, increasingly fake.
Spam filtering is perpetual iteration: deploy filter, analyze evasion attempts, update filter, repeat. Ghost job detection will follow the same cycle. The difference is that job seeking is higher stakes than email. You can ignore a hundred spam emails with no consequences. You can’t ignore a hundred job applications that vanish into voids without losing weeks of your life.
The question isn’t whether the filter will be perfect. It won’t. The question is whether it will be good enough to restore the labor market’s signal-to-noise ratio to functionality—to let you trust again that a job posting represents a real opportunity rather than a sophisticated form of spam.
What Remains
The technology works. The mathematics are proven. The regulatory framework is being built. Ontario’s 45-day rule takes effect in weeks. The EU directive arrives in months. The TJAAA moves through Congress with bipartisan support. RegTech platforms are deploying compliance filters. Verified hiring networks are issuing trust badges. Reputation scores are being calculated.
The spam problem nobody named is finally being named. And once you call ghost jobs what they are—fraudulent communication at industrial scale—the solution becomes obvious: filter them the same way we filtered every other form of spam that ever plagued a communication network.
You’re still out there, scrolling through listings, trying to distinguish real opportunities from digital ghosts. Soon—very soon—the spam filter will do that for you. The hiring likelihood score will appear next to every posting. The phantom listings will be quarantined before you waste your time. The verified badges will tell you which employers are whitelisted. The reputation scores will warn you away from serial offenders.
The labor market will function, once again, as an efficient exchange of real opportunities for real effort.
The ghosts are being caught in the junk folder. The wreckage of the “automated-first” labor market is still visible, but the transition toward a verified, AI-regulated ecosystem offers a path back to a high-trust recruitment environment. Transparency is no longer just an ethical choice. In the era of 2026, it has become a regulatory and operational necessity.
The spam filter is turning on. The question is whether companies will clean up their posting practices before the filter catches them—or whether they’ll wait for the $200,000 penalties and public blacklists to force their hand.
The phantoms will haunt the system until every company decides that signal quality matters more than message volume. But the filter is learning. And unlike email spam, which was solved by private companies with profit motives, ghost job filtering is being mandated by law.
This time, the spam doesn’t get to adapt. This time, the filter wins.





I find the read interesting, and relatable. Personally, my job search has created these mental filters much like the job board vs career site validation, searching for people sharing posts about the job opportunity, noticing if the job is a repost or not. Tbh, LinkedIn like most job boards often feels more like a discovery tool than a source of truth. It’s great for seeing what might exist, but not so great for knowing whether a role is real or actively hiring. It makes me wonder how useful it would be to have an AI tool that does this kind of filtering automatically. The survival analysis angle is fascinating. Many postings vanish, linger indefinitely, or never lead to a hire, so I’m curious how censoring is handled in the job post to hiring "event" data and whether there’s a reliable way to actually validate outcomes of a job that is posted online.
"Geethika, you’ve hit on the exact 'signal vs. noise' problem that inspired this. You’re right—LinkedIn has essentially become a discovery layer, but its 'source of truth' status is incredibly shaky.
Regarding the survival analysis: the 'censoring' is actually the most revealing part. In traditional models, we’d treat a post being taken down as a 'hiring event,' but in the 'Ghost Job' economy, that’s a dangerous assumption. We have to treat many of these as right-censored (we stop observing them without an event) or use competing risks—did the post disappear because someone was hired, or because the HR subscription expired?
Validating the outcome is the 'Holy Grail.' Right now, I'm looking at cross-referencing 'New Hire' announcements on LinkedIn against the timestamps of the original job IDs. It’s messy, but as you noted, the survival time of a 'real' post looks very different from one that lingers indefinitely as a branding exercise.
I'd love to hear more about the 'mental filters' you've developed—those are essentially the heuristics I'm trying to automate!"